Exploring the dark annihilation: multi-component asymmetric and symmetric dark matter

Amit Dutta Banik

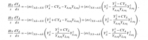
The article describes Boltzmann equations for a potential case of multi-particle dark matter with symmetric and asymmetric dark matter components in a model-independent approach. We focus on the specific scenario where one of the DM candidates remains completely invisible, having only hidden sector interactions with the other dark matter constituent referred to as “dark annihilation”. The possible effect of non-standard expansion of the universe on the dark matter abundance is also taken into account.

 

https://doi.org/10.1016/j.nuclphysb.2025.116855

Share

Use our Web App